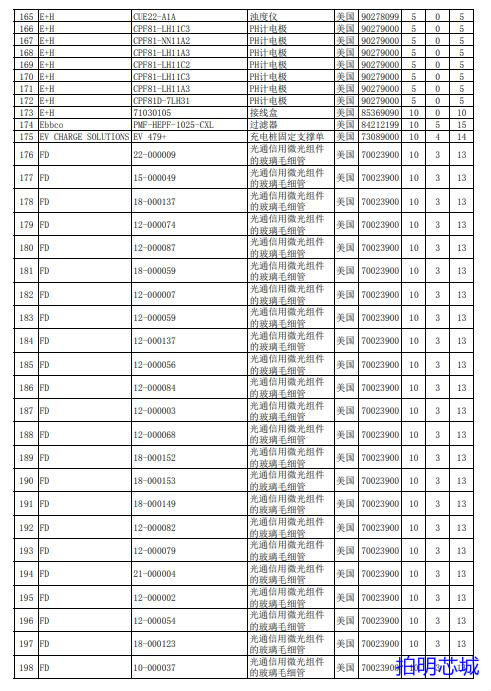
近千颗元器件物料型号明细出炉!涉及加征关税5%-10%
根据最新消息显示,继262个国外元器件品牌列于9月24日加征关税的消息之后,日前加征关税的物料型号明细也得到曝光。据拍明芯城最新发布的近千颗美产元器件增税清单,对部分加征关税商品的品牌型号进行了详细列出。从这份表单,能更清晰地看出哪些料号的元器件已经开始加征关税。
另外,早前芯动网联合创始人郭东盛向国际电子商情记者表示,根据他们的供应链数据整理,涉及194个海关编码和310个可能涉及加征关税的品牌,这比此前发布的262个品牌要多,他指出有部分客户深受影响,不过总体影响非常小,占比进口元器件大约0.5%左右。
不过,贸易摩擦已经令供应链神经紧绷,这一小部分的影响已经形成,同时对于未来更多的不确定性,也许要从现在起密切关注,提前预防。
以下是近千颗元器件物料型号明细:



















